Contoh Soal Diferensial Matematika Ekonomi
Doc Contoh Soal Uas Matematika Ekonomi Dan Bisnis Silvinta Lliiee Mau Lulus Ujian Ekonomi Sbmptn 2018 Yuk Pelajari 5 Contoh Soal Contoh Soal Matematika Ekonomi Turunan Diferensial Optimalisasi Rangkuman Contoh Soal Pembahasan Limit Pembahasan Lengkap Seputar Soal Hots Zenius Blog Materi Kuliah Matematika Ekonomi. Lanjutkan membaca Soal dan Pembahasan Matematika Ekonomi Tingkat SMASederajat.
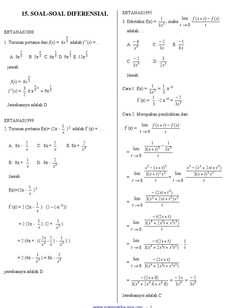
15 Soal Soal Diferensial Pembahasan
B Jika terhadap barang dikenakan pajak spesifik sebesar Rp 3- per unit maka.

Contoh soal diferensial matematika ekonomi. Perhitungan Laba Rugi Suatu Usaha. Soal Dan Pembahasan Diferensial Matematika Ekonomi Persamaan diferensial merupakan persamaan dalam ilmu matematika untuk suatu fungsi satu variabel atau lebih yang menghubungkan nilai fungsi itu sendiri dan turunnya dalam berbagai orde. Contoh soal diferensial ekonomi.
Diferensial adalah sebuah Artikel Terbaru. Apakah anda sedang mencari informasi Contoh Soal Fungsi Biaya Total Matematika Ekonomi. A Berapa harga keseimbangan dan jumlah keseimbangan yang tercipta di pasar.
Contoh soal diferensial fungsi majemuk matematika ekonomi 25 Contoh Soal Diferensial Fungsi Majemuk Matematika Ekonomi By admin Rabu 02 Desember 2020 Add Comment Edit Matematika Ekonomi 2a From. Contoh soal diferensial turunan fungsi contoh soal 1 persamaan garis singgung pada kurva y 23 52 x6 yang berabsis 1 ialah penyelesaian. Analisis minimum pada fungsi biaya Analisis maksimal pada fungsi laba dan pajak 1.
By Abdillah Posted on 26042021. Contoh soal diferensial turunan fungsi. Contoh soal diferensial matematika ekonomi.
2 Bila elastisitas silang lebih kecil dari nol E. Contoh Soal Fungsi Biaya Total Matematika Ekonomi. Kuliah 5 Diferensial Fungsi Majemuk.
Permintaan terhadap suatu barang yang terjadi di pasar adalah bila diminta 20 unit barang harga per unit barang Rp 80 dan bila diminta 60 unit barang harga menjadi Rp 40 sedangkan penawaran yang terjadi adalah jika yang ditawarkan 90 unit barang harga per unit Rp 40 tetapi jika ditawarkan 120. Berdasarkan manfaat manfaat inilah konsep diferensial menjadi salah satu alat analisis yang sangat penting dalam bisnis dan ekonomi. Materi matematika ekonomi 1 diferensial fungsi majemuk materi matematika ekonomi 1 diferensial fungsi sederhana materi matematika ekonomi 1 fungsi linier.
Diferensial Matematika Pengertian Rumus Contoh Soal. Contoh Soal Terlengkap dari berbagai sumber di internet. Matematika Ekonomi atau kadang disebut sebagai Matematika Keuangan adalah salah satu cabang matematika terapan dalam bidang ekonomi.
Berdasarkan manfaat manfaat inilah konsep diferensial menjadi salah satu alat analisis yang sangat penting dalam bisnis dan ekonomi. Diferensial Turunan Dalam Ilmu Ekonomi Dan Bisnis Dosen Perbanas. Fungsi permintaan suatu barang ditunjukkan oleh persamaan Q d 46 2P 2 sedangkan penawarannya Q s 19 3P 2.
Rumus invers matriks 2 x 2 contoh soal materi matematika ekonomi 2 rumus invers matriks 3 x 3 contoh soal. Contoh soal dan pembahasan tentang turunan trigonometri. Turunan Parsial Dan Penerapannyapptx Diferensial.
107 Contoh Soal Diferensial Fungsi Sederhana Matematika Ekonomi Jawaban. 25 Contoh Soal Diferensial Fungsi Majemuk Matematika Ekonomi. 2 Bila elastisitas silang lebih kecil dari nol E0 maka barang tersebut memiliki hubungan komplementer.
Laba bersih merupakan selisih positif atas penjualan dikurangi biaya biaya dan pajak f 5 Laba adalah. Admin blog Berbagi Contoh Soal 2019 juga mengumpulkan gambar-gambar lainnya terkait contoh soal diferensial fungsi majemuk dalam penerapan ekonomi dibawah ini. Matematika Ekonomi SemesterSatu 21 Contoh Soal.
PENERAPAN DIFERENSIAL PADA MATEMATIKA EKONOMI DAN BISNIS 21 Laba Pada umumnya ukuran yang sering kali digunakan untuk menilai berhasil atau tidaknya manajemen suatu perusahan adalah dengan melihat laba yang diperoleh perusahaan. Tatap muka ke 10. Sedangkan penerapan diferensial turunan dalam ilmu bisnis ekonomi yang dipelajari adalah sebagai berikut.
Contoh soal diferensial matematika ekonomi. Materi matematika ekonomi 2 rumus adjoint matriks 3 x 3 contoh soal materi matematika ekonomi 2 rumus invers matriks 2 x 2 contoh soal materi matematika ekonomi 2 rumus invers matriks 3 x 3 contoh soal materi matematika ekonomi 2 transpos matriks 3 x 3 contoh soal materi matematika ekonomi i per bab. 1 Apabila koefisien elastisitas silang lebih besar dari nol E0 maka kedua barang tersebut mempunyai hubungan substitusi.
Fungsi pertumbuhan merupakan salah satu contoh aplikasi fungsi eksponen dalam bidang ekonomi. Diferensial turunan fungsi atau yang biasa disebut dengan diferensial adalah fungsi lain dari sebuah fungsi yang sebelumnya contohnya fungsi f menjadi f yang mempunyai nilai yang tidak beraturan turunan atau diferensial. Diferensial Matematika Pengertian Rumus Contoh Soal.
Berikut informasi sepenuhnya tentang contoh soal diferensial fungsi majemuk dalam penerapan ekonomi. Contoh soal dan pembahasan tentang differensial. Diferensial Matematika Pengertian Rumus Contoh Soal.
Yang dimaksud dengan fungsi biaya ialah hubungan fungsional antara jumlah satuan rupiah yang merupakan biaya dalam proses produksi termasuk biaya biaya yang menunjang dengan jumlah satuan output yang diproduksi selama jangka waktu tertentu. Matematika Ekonomi dipelajari secara mendasar mulai dari tingkat SD persentase diskon untung rugi kemudian dikembangkan pada tingkat SMP bruto tara neto harga jual dan harga beli dan terakhir dipelajari secara lebih mendalam pada tingkat SMA.

Rumus Turunan Matematika Dan Contoh Soal Lengkap

Persamaan Diferensial Pengertian Rumus Dan Contoh Soal

Fisika Matematika Contoh Soal Diferensial Turunan Parsial 2 Youtube

Contoh Soal Pajak Maksimum Matematika Ekonomi

Soal Integral Tak Tentu Menentukan Anti Turunan Sederhana Halaman All Kompas Com
15 Soal Soal Diferensial Pembahasan

Rumus Dan Contoh Soal Turunan Fungsi Trigonometri Lengkap

Kumpulan Contoh Soal Integral Dan Pembahasannya Guru Belajarku

Contoh Soal Sbmptn Bagian Saintek Ipa Dan Pembahasannya Info Snmptn Dan Sbmptn Matematika Dasar Belajar Kiat Belajar
Post a Comment for "Contoh Soal Diferensial Matematika Ekonomi"